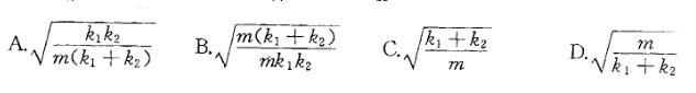
图示质量为m的物块,用两根弹性系数为k1和k2的弹簧连接,不计阻尼,当物体受到干扰力F=hsinωt的作用时,系统发生共振的受迫振动频率ω为:

作者: rantiku 人气: - 评论: 0
问题 图示质量为m的物块,用两根弹性系数为k1和k2的弹簧连接,不计阻尼,当物体受到干扰力F=hsinωt的作用时,系统发生共振的受迫振动频率ω为:
选项
答案 C
解析 提示:当受迫振动频率与自由振动固有频率相等时,系统发生共振。(k1和k2为并联弹簧)

猜你喜欢

发表评论
更多 网友评论0 条评论)
暂无评论

访问排行

Copyright © 2012-2014 恰考网 Inc. 保留所有权利。 Powered by tikuer.com

页面耗时0.0365秒, 内存占用1.03 MB, Cache:redis,访问数据库18次