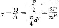
如图所示连接件中,螺栓直径为d,材料剪切容许应力为则螺栓的剪切强度条件为:

作者: rantiku 人气: - 评论: 0
问题 如图所示连接件中,螺栓直径为d,材料剪切容许应力为则螺栓的剪切强度条件为:
选项
答案 D
解析 提示:,此题中每个螺栓有两个剪切面。

猜你喜欢

发表评论
更多 网友评论0 条评论)
暂无评论

访问排行

Copyright © 2012-2014 恰考网 Inc. 保留所有权利。 Powered by tikuer.com

页面耗时0.0415秒, 内存占用1.03 MB, Cache:redis,访问数据库19次