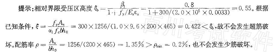
一矩形截面梁,bXh= 200mmX500mm,混凝土强度等级C20(fc=9. 6MPa),受拉区配有4Φ20(AS=1256mm2)的HRB335级钢...

作者: rantiku 人气: - 评论: 0
问题 一矩形截面梁,bXh= 200mmX500mm,混凝土强度等级C20(fc=9. 6MPa),受拉区配有4Φ20(AS=1256mm2)的HRB335级钢筋(fy = 300MPa)。该梁沿正截面的破坏为下列中哪种破坏? A.少筋破坏 B.超筋破坏 C.适筋破坏 D.界限破坏
选项
答案 C
解析

猜你喜欢

发表评论
更多 网友评论0 条评论)
暂无评论

访问排行

Copyright © 2012-2014 恰考网 Inc. 保留所有权利。 Powered by tikuer.com

页面耗时0.0346秒, 内存占用1.03 MB, Cache:redis,访问数据库18次