晶体管非门电路如图所示,已知UOC= 15V,UB = -9V,RC= 3kΩ,RB = 20kΩ,β= 40,当输入电压U1=5V时,要使晶体管饱和导通...

作者: rantiku 人气: - 评论: 0
问题 晶体管非门电路如图所示,已知UOC= 15V,UB = -9V,RC= 3kΩ,RB = 20kΩ,β= 40,当输入电压U1=5V时,要使晶体管饱和导通,RX值不得大于多少?(设UBE=0. 7V,集电极和发射极之间的饱和电压UCES=0.3V) A. 7.1kΩ B. 35kΩ C. 3. 55kΩ D. 17. 5kΩ
选项
答案 A
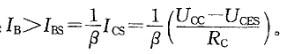
解析 提示:根据晶体三极管工作状态的判断条件,当晶体管处于饱和状态时,基极电流与集电极电流的关系是:

猜你喜欢

发表评论
更多 网友评论0 条评论)
暂无评论

访问排行

Copyright © 2012-2014 恰考网 Inc. 保留所有权利。 Powered by tikuer.com

页面耗时0.0447秒, 内存占用1.03 MB, Cache:redis,访问数据库18次