某岩基各项指标为:γ=25kN/m3,c=30kPa,φ=30°,若荷载为条形荷载,宽度1m,则该岩基极限承载力理论值为:A. 1550kPa B. ...

作者: rantiku 人气: - 评论: 0
问题 某岩基各项指标为:γ=25kN/m3,c=30kPa,φ=30°,若荷载为条形荷载,宽度1m,则该岩基极限承载力理论值为: A. 1550kPa B. 1675kPa C. 1725kPa D. 1775kPa
选项
答案 B
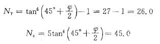
解析 提示:计算承载力系数 极限承载力为 qf=0.5γbNγ +cNc =0. 5 X 25 X 1 X 26 + 30 X 45 = 1675kPa

猜你喜欢

发表评论
更多 网友评论0 条评论)
暂无评论

访问排行

Copyright © 2012-2014 恰考网 Inc. 保留所有权利。 Powered by tikuer.com

页面耗时0.0277秒, 内存占用1.03 MB, Cache:redis,访问数据库19次