两端受扭转力偶矩作用的实心圆轴,不发生屈服的最大许可荷载为M0,若将其横截面面积增加1倍,则最大许可荷载为:A.M0 B.2M0 C. M0 D.4M0

作者: rantiku 人气: - 评论: 0
问题 两端受扭转力偶矩作用的实心圆轴,不发生屈服的最大许可荷载为M0,若将其横截面面积增加1倍,则最大许可荷载为: A.M0 B.2M0 C. M0 D.4M0
选项
答案 C
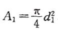
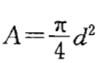
解析 提示:设实心圆轴原来横截面面积为 ,增大后面积,则有A1=2A,即

猜你喜欢

发表评论
更多 网友评论0 条评论)
暂无评论

访问排行

Copyright © 2012-2014 恰考网 Inc. 保留所有权利。 Powered by tikuer.com

页面耗时0.0721秒, 内存占用1.03 MB, Cache:redis,访问数据库20次