受扭实心等直圆轴,当直径增大一倍时,其最大剪应力τ2max和两端相对扭转角与原来的τ1max和的比值为()。A.τ2max:τ1max=1:2,:=1...

作者: rantiku 人气: - 评论: 0
问题 受扭实心等直圆轴,当直径增大一倍时,其最大剪应力τ2max和两端相对扭转角与原来的τ1max和的比值为()。 A.τ2max:τ1max=1:2,=1:4 B.τ2max:τ1max=1:4,=1:8 C.τ2max:τ1max=1:8,=1:16 D.τ2max:τ1max=1:4,=1:16
选项
答案 C
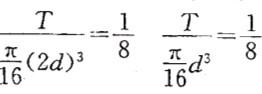
解析 提示:τ2max=τ1max =

猜你喜欢

发表评论
更多 网友评论0 条评论)
暂无评论

访问排行

Copyright © 2012-2014 恰考网 Inc. 保留所有权利。 Powered by tikuer.com

页面耗时0.0799秒, 内存占用1.03 MB, Cache:redis,访问数据库18次