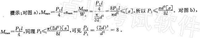
设图示两根圆截面梁的直径分别为d和2d,许可荷载分别为[P]1和[P]2,若二梁的材料相同,则[P]2/[P]1等于:A.2B.4C.8 ...

作者: rantiku 人气: - 评论: 0
问题 设图示两根圆截面梁的直径分别为d和2d,许可荷载分别为[P]1和[P]2,若二梁的材料相同,则[P]2/[P]1等于: A.2 B.4 C.8 D.16
选项
答案 C
解析

猜你喜欢

发表评论
更多 网友评论0 条评论)
暂无评论

访问排行

Copyright © 2012-2014 恰考网 Inc. 保留所有权利。 Powered by tikuer.com

页面耗时0.0557秒, 内存占用1.03 MB, Cache:redis,访问数据库20次