在等直梁平面弯曲的挠曲线上,曲率最大值发生在下面哪项的截面上? A.挠度最大 B.转角最大 D.弯矩最大 D.剪力最大

作者: rantiku 人气: - 评论: 0
问题 在等直梁平面弯曲的挠曲线上,曲率最大值发生在下面哪项的截面上? A.挠度最大 B.转角最大 D.弯矩最大 D.剪力最大
选项
答案 C
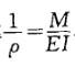
解析 提示:根据公式梁的弯曲曲率与弯矩成正比,故曲率的最大值发生在弯矩最大的截面上。

猜你喜欢

发表评论
更多 网友评论0 条评论)
暂无评论

访问排行

Copyright © 2012-2014 恰考网 Inc. 保留所有权利。 Powered by tikuer.com

页面耗时0.0364秒, 内存占用1.03 MB, Cache:redis,访问数据库19次