有一简支梁,中点受集中力P作用。梁端转角,当梁的长度l、横截面尺寸、荷载P均增大一倍时,梁端转角等于原转角的多少倍?A. 1/2 B. 1 C. 2 ...

作者: rantiku 人气: - 评论: 0
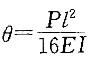
问题 有一简支梁,中点受集中力P作用。梁端转角,当梁的长度l、横截面尺寸、荷载P均增大一倍时,梁端转角等于原转角的多少倍? A. 1/2 B. 1 C. 2 D. 4
选项
答案 A
解析 提示:当横截面尺寸增大一倍时,I是原来的16倍,同时代入P'=2P,l' = 2l进行计算,可知转角是原来的1/2。

猜你喜欢

发表评论
更多 网友评论0 条评论)
暂无评论

访问排行

Copyright © 2012-2014 恰考网 Inc. 保留所有权利。 Powered by tikuer.com

页面耗时0.0347秒, 内存占用1.03 MB, Cache:redis,访问数据库15次