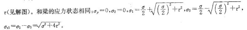
图示为正方形截面等直杆,抗弯截面模量为W,在危险截面上,弯矩为M,扭矩为Mn,A点处有最大正应力σ和最大剪应力γ。若材料为低碳钢,则其强度条件为:

作者: rantiku 人气: - 评论: 0
问题 图示为正方形截面等直杆,抗弯截面模量为W,在危险截面上,弯矩为M,扭矩为Mn,A点处有最大正应力σ和最大剪应力γ。若材料为低碳钢,则其强度条件为:
选项
答案 D
解析 提示:在弯扭组合变形情况下,A点属于复杂应力状态,既有最大正应力,又有最大剪应力 选项中,A为单向应力状态,B、C只适用于圆截面。

猜你喜欢

发表评论
更多 网友评论0 条评论)
暂无评论

访问排行

Copyright © 2012-2014 恰考网 Inc. 保留所有权利。 Powered by tikuer.com

页面耗时0.0300秒, 内存占用1.03 MB, Cache:redis,访问数据库19次