折杆受力如图所示,以下结论中错误的为:A.点B和D处于纯剪状态B.点A和C处为二向应力状态,两点处σ1>0,σ2=0,σ3C.按照第三强度理论,点...

作者: rantiku 人气: - 评论: 0
问题 折杆受力如图所示,以下结论中错误的为: A.点B和D处于纯剪状态 B.点A和C处为二向应力状态,两点处σ1>0,σ2=0,σ3C.按照第三强度理论,点A及C比点B及D危险 D.点A及C的最大主应力σ1数值相同
选项
答案 D
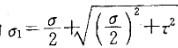
解析 提示:把P力平移到圆轴线上,再加一个附加力偶。可见圆轴为弯扭组合变形。其中A 点的应力状态如解图a)所示,C点的应力状态如解图b)所示。A、C两点的应力状态与梁中各点相同,而B、D两点位于中性轴上,为纯剪应力状态。但由于A点的正应力为拉应力,而C点的正应力为压应力,所以最大拉力计算中,σ1的正负号不同,σ1的数值也不相同。

猜你喜欢

发表评论
更多 网友评论0 条评论)
暂无评论

访问排行

Copyright © 2012-2014 恰考网 Inc. 保留所有权利。 Powered by tikuer.com

页面耗时0.0408秒, 内存占用1.03 MB, Cache:redis,访问数据库20次