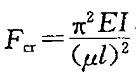
一端固定一端自由的细长(大柔度)压杆,长为L(如图a)所示,当杆的长度减小一半时(如图b)所示,其临界荷载Fcr比原来增加:A. 4倍 B. 3倍...

作者: rantiku 人气: - 评论: 0
问题 一端固定一端自由的细长(大柔度)压杆,长为L(如图a)所示,当杆的长度减小一半时(如图b)所示,其临界荷载Fcr比原来增加: A. 4倍 B. 3倍 C. 2倍 D. 1倍
选项
答案 A
解析 提示:由压杆临界荷载公式可知,Fcr与杆长l2成反比,故杆长度为l/2时,Fcr则是原来的4倍。

猜你喜欢

发表评论
更多 网友评论0 条评论)
暂无评论

访问排行

Copyright © 2012-2014 恰考网 Inc. 保留所有权利。 Powered by tikuer.com

页面耗时0.0469秒, 内存占用1.03 MB, Cache:redis,访问数据库14次