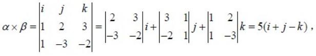
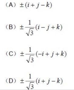
设α=i+2j+3k,β=i-3j-2k,则与α,β 都垂直的单位向量为:

作者: rantiku 人气: - 评论: 0
问题 设α=i+2j+3k,β=i-3j-2k,则与α,β 都垂直的单位向量为:
选项
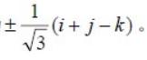
答案 D
解析 解:选D。 得单位向量为

猜你喜欢

发表评论
更多 网友评论0 条评论)
暂无评论

访问排行

Copyright © 2012-2014 恰考网 Inc. 保留所有权利。 Powered by tikuer.com

页面耗时0.0405秒, 内存占用1.03 MB, Cache:redis,访问数据库20次