微分方程(1+ 2y)xdx + (1+ x2 )dy = 0的通解为;(以上各式中,c 为任意常数)

作者: rantiku 人气: - 评论: 0
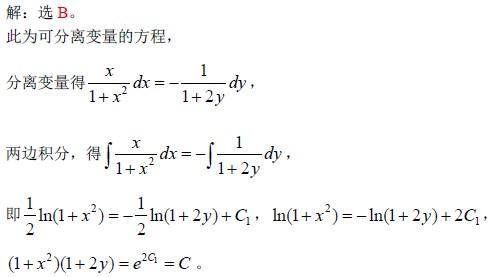
问题 微分方程(1+ 2y)xdx + (1+ x2 )dy = 0的通解为; (以上各式中,c 为任意常数)
选项
答案 B
解析

猜你喜欢

发表评论
更多 网友评论0 条评论)
暂无评论

访问排行

Copyright © 2012-2014 恰考网 Inc. 保留所有权利。 Powered by tikuer.com

页面耗时0.0505秒, 内存占用1.03 MB, Cache:redis,访问数据库18次