已知某理想气体的摩尔数为ν ,气体分子的自由度为i ,k 为玻尔兹曼常量,R 为摩尔气体常量。当该气体从状态1(p1,V1,T1)到状态2(p2,V2,T...

作者: rantiku 人气: - 评论: 0
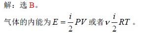
问题 已知某理想气体的摩尔数为ν ,气体分子的自由度为i ,k 为玻尔兹曼常量,R 为摩尔气体常量。当该气体从状态1(p1,V1,T1)到状态2(p2,V2,T2)的变化过程中,其内能的变化为;
选项
答案 B
解析

猜你喜欢

发表评论
更多 网友评论0 条评论)
暂无评论

访问排行

Copyright © 2012-2014 恰考网 Inc. 保留所有权利。 Powered by tikuer.com

页面耗时0.0422秒, 内存占用1.03 MB, Cache:redis,访问数据库19次