一定量的理想气体在进行卡诺循环时,高温热源的温度为500K,低温热源的温度为400K。则该循环的效率为;(A) 56% (B) 34%(C) 80...

作者: rantiku 人气: - 评论: 0
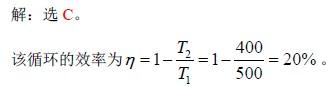
问题 一定量的理想气体在进行卡诺循环时,高温热源的温度为500K,低温热源的温度为400K。则该循环的效率为; (A) 56% (B) 34% (C) 80% (D )20%
选项
答案 C
解析

猜你喜欢

发表评论
更多 网友评论0 条评论)
暂无评论

访问排行

Copyright © 2012-2014 恰考网 Inc. 保留所有权利。 Powered by tikuer.com

页面耗时0.0875秒, 内存占用1.03 MB, Cache:redis,访问数据库20次