将pH=2.00 的HCl 溶液与pH=13.00 的NaoH 溶液等体积混合后,溶液的pH 值是:(A)7.00 (B)12.65(C)3.00...

作者: rantiku 人气: - 评论: 0
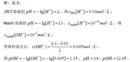
问题 将pH=2.00 的HCl 溶液与pH=13.00 的NaoH 溶液等体积混合后,溶液的pH 值是: (A)7.00 (B)12.65 (C)3.00 (D)11.00
选项
答案 B
解析

猜你喜欢

发表评论
更多 网友评论0 条评论)
暂无评论

访问排行

Copyright © 2012-2014 恰考网 Inc. 保留所有权利。 Powered by tikuer.com

页面耗时0.0323秒, 内存占用1.03 MB, Cache:redis,访问数据库19次