(A)直线 (B)圆(C)正弦曲线 (D)椭圆

作者: rantiku 人气: - 评论: 0
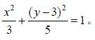
问题 (A)直线 (B)圆 (C)正弦曲线 (D)椭圆
选项
答案 D
解析 解:选D。 由运动方程可得, 运动轨迹为椭圆。

猜你喜欢

发表评论
更多 网友评论0 条评论)
暂无评论

访问排行

Copyright © 2012-2014 恰考网 Inc. 保留所有权利。 Powered by tikuer.com

页面耗时0.0381秒, 内存占用1.03 MB, Cache:redis,访问数据库18次