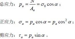
图示拉杆承受轴向拉力 P 的作用,设斜截面 m-m 的面积为A,则σ = P / A为:(A)横截面上的正应力(B)斜截面上的正应力(C)...

作者: rantiku 人气: - 评论: 0
问题 图示拉杆承受轴向拉力 P 的作用,设斜截面 m-m 的面积为A,则σ = P / A为: (A)横截面上的正应力 (B)斜截面上的正应力 (C)斜截面上的应力 (D)斜截面上的剪应力
选项
答案 C
解析 解:选C。 此题考察轴向拉压杆斜截面上的应力。斜截面上的应力应均匀分布,

猜你喜欢

发表评论
更多 网友评论0 条评论)
暂无评论

访问排行

Copyright © 2012-2014 恰考网 Inc. 保留所有权利。 Powered by tikuer.com

页面耗时0.0667秒, 内存占用1.03 MB, Cache:redis,访问数据库17次