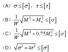
图示正方形截面等直杆,抗弯截面模量为W ,在危险截面上,弯矩为M ,扭矩为Mn ,A 点处有最大正应力σ 和最大剪应力。若材料为低碳钢,则其强度条件为:

作者: rantiku 人气: - 评论: 0
问题 图示正方形截面等直杆,抗弯截面模量为W ,在危险截面上,弯矩为M ,扭矩为Mn ,A 点处有最大正应力σ 和最大剪应力。若材料为低碳钢,则其强度条件为:
选项
答案 D
解析 解:选D。 参考天大教材中的第 423 页低碳钢的力学性能可得答案为选项(D)。

猜你喜欢

发表评论
更多 网友评论0 条评论)
暂无评论

访问排行

Copyright © 2012-2014 恰考网 Inc. 保留所有权利。 Powered by tikuer.com

页面耗时0.0388秒, 内存占用1.03 MB, Cache:redis,访问数据库20次