如图所示,一倒置U 形管,上部为油,其密度ρ01 =800 kg /m3 ,用来测定水管中的A点流速 μA ,若读数Δh = 200mm,则该点流速 μA...

作者: rantiku 人气: - 评论: 0
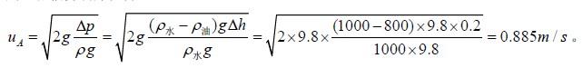
问题 如图所示,一倒置U 形管,上部为油,其密度ρ01 =800 kg /m3 ,用来测定水管中的A点流速 μA ,若读数Δh = 200mm,则该点流速 μA 为: (A)0.885m/ s (B)1.980m/ s (C)1.770m/ s (D)2.000m/ s
选项
答案 A
解析 解:选A。 列总流伯努利方程得, 点评:知识点见下。

猜你喜欢

发表评论
更多 网友评论0 条评论)
暂无评论

访问排行

Copyright © 2012-2014 恰考网 Inc. 保留所有权利。 Powered by tikuer.com

页面耗时0.0324秒, 内存占用1.03 MB, Cache:redis,访问数据库19次