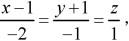
设直线的方程为则直线:(A)过点(1,-1,0),方向向量为2i + j-k(B)过点(1,-1,0),方向向量为2i - j + k(C)过...

作者: rantiku 人气: - 评论: 0
问题 设直线的方程为则直线: (A)过点(1,-1,0),方向向量为2i + j-k (B)过点(1,-1,0),方向向量为2i - j + k (C)过点(-1,1,0),方向向量为-2i - j + k (D)过点(-1,1,0),方向向量为2i + j - k
选项
答案 A
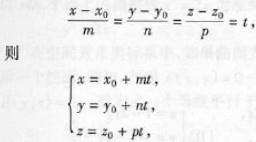
解析 设直线L过点M0(x0,y0,z0),它的一个方向向量为s=(m,n,p),则直线L的方程为 此方程称为直线的对称式方程, 如设参数t如下: 此方程组称为直线的参数式方程。

猜你喜欢

发表评论
更多 网友评论0 条评论)
暂无评论

访问排行

Copyright © 2012-2014 恰考网 Inc. 保留所有权利。 Powered by tikuer.com

页面耗时0.0422秒, 内存占用1.03 MB, Cache:redis,访问数据库20次