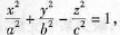
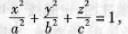
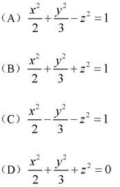
下列方程中代表单叶双曲面的是:

作者: rantiku 人气: - 评论: 0
问题 下列方程中代表单叶双曲面的是:
选项
答案 A
解析 球面(x-x0)2+(y-y0)2+(z-z0)2=R2 圆锥面 椭圆锥面 椭球面 椭圆抛物面 双曲抛物面 单叶双曲面 双叶双曲面 注意:以上方程是二次曲面的标准方程,还应知道它们的各种变形。

猜你喜欢

发表评论
更多 网友评论0 条评论)
暂无评论

访问排行

Copyright © 2012-2014 恰考网 Inc. 保留所有权利。 Powered by tikuer.com

页面耗时0.0391秒, 内存占用1.03 MB, Cache:redis,访问数据库18次