对于曲线下列各性态不正确的是:(A)有3个极值点 (B)有3个拐点(C)有2个极值点(D)对称原点

作者: rantiku 人气: - 评论: 0
问题 对于曲线下列各性态不正确的是: (A)有3个极值点 (B)有3个拐点 (C)有2个极值点(D)对称原点
选项
答案 A
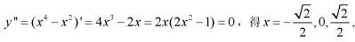
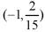
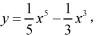
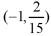
解析 y,=x4-x2=x2(x2-1)=0,得x=-1,0,1. 验证这3个点是否都是极值点 x=0-和x=0+时,y,均小于0,即符号相同,则点(0,0)不是极值点; x=-1-和x=-1+时,y,符号不同,则点为极值点; 同理,点为极值点 即有2个极值点,所以选项(A)错误。 画图如下,可看出有2个极值点。 和上面一样进行验证后知这三个均为拐点。 因为y是奇函数,所以对称原点 点评:导数为0并不一定就是极点,必须进行验证。

猜你喜欢

发表评论
更多 网友评论0 条评论)
暂无评论

访问排行

Copyright © 2012-2014 恰考网 Inc. 保留所有权利。 Powered by tikuer.com

页面耗时0.0379秒, 内存占用1.03 MB, Cache:redis,访问数据库19次