微分方程cosydx+(1+e-x)sinydy=0满足初始条件y x=0=的特解是:(A)cosy=(1+ex) (B)cosy=(1+ex) (C...

作者: rantiku 人气: - 评论: 0
问题 微分方程cosydx+(1+e-x)sinydy=0满足初始条件y x=0=的特解是: (A)cosy=(1+ex) (B)cosy=(1+ex) (C)cosy=4(1+ex) (D)cos2y=(1+ex)
选项
答案 A
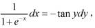
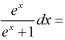
解析 此为可分离变量的方程,将变量分离得-tan ydy,两边积分,-tan ydy,

猜你喜欢

发表评论
更多 网友评论0 条评论)
暂无评论

访问排行

Copyright © 2012-2014 恰考网 Inc. 保留所有权利。 Powered by tikuer.com

页面耗时0.0292秒, 内存占用1.03 MB, Cache:redis,访问数据库19次