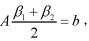
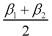
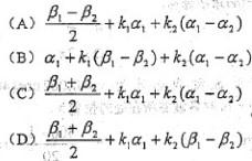
设β 1,β2是线性方程组Ax =b的两个不同的解,α1、α2 是导出组Ax = 0的基础解系,k1,k2是任意常数,则Ax=b的通解是:

作者: rantiku 人气: - 评论: 0
问题 设β 1,β2是线性方程组Ax =b的两个不同的解,α1、α2 是导出组Ax = 0的基础解系,k1,k2是任意常数,则Ax=b的通解是:
选项
答案 C
解析 由β 1,β2是线性方程组Ax =b的解,则Aβ 1=b,Aβ2=b,得所以也是线性方程组Ax =b的解,由α1、α2 是线性方程组Ax =0的解,则Aα1=0,Aα2=0,得A(α1-α2 )=0,因此α1-α2 是Ax =0的解。线性方程组Ax =0的通解为

猜你喜欢

发表评论
更多 网友评论0 条评论)
暂无评论

访问排行

Copyright © 2012-2014 恰考网 Inc. 保留所有权利。 Powered by tikuer.com

页面耗时0.0342秒, 内存占用1.03 MB, Cache:redis,访问数据库15次