重W的圆球置于光滑的斜槽内,右侧斜面对球的约束力FNB的大小为:

作者: rantiku 人气: - 评论: 0
问题 重W的圆球置于光滑的斜槽内,右侧斜面对球的约束力FNB的大小为:
选项
答案 A
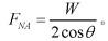
解析 对物体做受力分析,画图如下, 垂直方程受力平衡,则FNA cosθ + FNB cosθ = W,又FNA = FNB,得

猜你喜欢

发表评论
更多 网友评论0 条评论)
暂无评论

访问排行

Copyright © 2012-2014 恰考网 Inc. 保留所有权利。 Powered by tikuer.com

页面耗时0.0388秒, 内存占用1.03 MB, Cache:redis,访问数据库17次