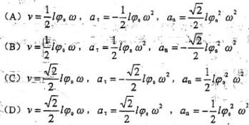
单摆由长l的摆杆与摆锤A组成,其运动规律ψ=ψ0sinwt.锤A在秒的速度,切向加速度与法向加速度分别为:

作者: rantiku 人气: - 评论: 0
问题 单摆由长l的摆杆与摆锤A组成,其运动规律ψ=ψ0sinwt.锤A在秒的速度,切向加速度与法向加速度分别为:
选项
答案 C
解析 速度 法向加速度大小方向指向圆心。 切向加速度

猜你喜欢

发表评论
更多 网友评论0 条评论)
暂无评论

访问排行

Copyright © 2012-2014 恰考网 Inc. 保留所有权利。 Powered by tikuer.com

页面耗时0.0334秒, 内存占用1.03 MB, Cache:redis,访问数据库17次