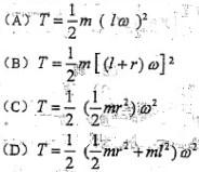
忽略质量的细杆OC=l,其端部固结匀质圆盘圆心,盘质量为m,半径为r。系统以角速度w绕轴O转动。系统的动能是:

作者: rantiku 人气: - 评论: 0
问题 忽略质量的细杆OC=l,其端部固结匀质圆盘圆心,盘质量为m,半径为r。系统以角速度w绕轴O转动。系统的动能是:
选项
答案 D
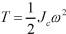
解析 此为定轴转动刚体,动能表达式为,其中Jc为刚体通过质心且垂直于运动平面 的轴的转动惯量。 此题中,,带入动能表达式,选(D)。

猜你喜欢

发表评论
更多 网友评论0 条评论)
暂无评论

访问排行

Copyright © 2012-2014 恰考网 Inc. 保留所有权利。 Powered by tikuer.com

页面耗时0.0369秒, 内存占用1.03 MB, Cache:redis,访问数据库19次