变直径圆管流,细断面直径d1,粗断面直径d2=2d1,粗细断面雷诺数的关系是:(A)Re1=0.5Re2(B)Re1=Re2(C)Re1=1....

作者: rantiku 人气: - 评论: 0
问题 变直径圆管流,细断面直径d1,粗断面直径d2=2d1,粗细断面雷诺数的关系是: (A)Re1=0.5Re2 (B)Re1=Re2 (C)Re1=1.5Re2 (D)Re1=2Re2
选项
答案 D
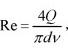
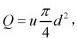
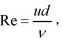
解析 雷诺数又流量流量相同,则雷诺数Re与管径d成反比。
发表评论
更多 网友评论0 条评论)
暂无评论

访问排行

Copyright © 2012-2014 恰考网 Inc. 保留所有权利。 Powered by tikuer.com

页面耗时0.0378秒, 内存占用1.03 MB, Cache:redis,访问数据库20次