作者: rantiku 人气: - 评论: 0
问题
选项
答案 A
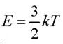
解析 分子平均平动动能 ,只与温度有关。分子平均平动动能相等,则温度相同。 又压强p = nkT,因为单位体积内的分子数n不同,温度T相同,则压强不相同。
  • 上一篇:
  • 下一篇:

相关内容:

猜你喜欢

发表评论
更多 网友评论0 条评论)
暂无评论

访问排行

Copyright © 2012-2014 恰考网 Inc. 保留所有权利。 Powered by tikuer.com

页面耗时0.0385秒, 内存占用1.01 MB, Cache:redis,访问数据库19次