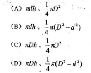
插销穿过水平放置不板上的圆孔,在其下端受有一拉力P,该插销的剪切面积和挤压面积分别为:

作者: rantiku 人气: - 评论: 0
问题 插销穿过水平放置不板上的圆孔,在其下端受有一拉力P,该插销的剪切面积和挤压面积分别为:
选项
答案 B
解析 剪切的特点:作用于构件某一截面两侧的力,大小相等,方向相反,相互平行,使构件的两部分沿着一截面(剪切面)产生相对错动的情形。 挤压面的规定:(1)当连接件和被联接的构件的接粗面为平面时,接触面就是挤压面。(2)当接粗面为圆柱面时,以圆孔或圆钉的直径平面作为挤压面。 本题利用第一条即可求解。

猜你喜欢

发表评论
更多 网友评论0 条评论)
暂无评论

访问排行

Copyright © 2012-2014 恰考网 Inc. 保留所有权利。 Powered by tikuer.com

页面耗时0.0298秒, 内存占用1.03 MB, Cache:redis,访问数据库18次