要用冲床在厚度为t的钢板上冲出一圆孔,则冲力大小:(A)与圆孔直径的平方成正比 (B)与圆孔直径的平方根成正比 (C)与圆孔直径成正比(D)与圆孔...

作者: rantiku 人气: - 评论: 0
问题 要用冲床在厚度为t的钢板上冲出一圆孔,则冲力大小: (A)与圆孔直径的平方成正比 (B)与圆孔直径的平方根成正比 (C)与圆孔直径成正比(D)与圆孔直径的三次方成正比
选项
答案 C
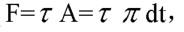
解析 冲力与直径呈正比。

猜你喜欢

发表评论
更多 网友评论0 条评论)
暂无评论

访问排行

Copyright © 2012-2014 恰考网 Inc. 保留所有权利。 Powered by tikuer.com

页面耗时0.0294秒, 内存占用1.03 MB, Cache:redis,访问数据库19次