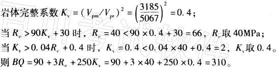
某工程测得中等风化岩体压缩波波速Vpm=3185m/s,剪切波波速Vs =1603m/s,相应岩块的压缩波波速Vpr=5067m/s,剪切波波速Vs =2...
猜你喜欢
- 妊娠合并心脏病的孕妇,临产时的处理不正确的是A、临产用抗生素,至产后1周B、可适当用镇静药C、常规不使用洋地黄预防心力衰竭D、尽量缩短产程...
- 25岁初产妇,产钳助娩一3500g女婴,现产后1小时,在产房观察。下列哪项不是目前必须观察的项目:A.子宫收缩情况、出血量B.产妇饮食情况C....
- 在风湿性疾病中,下列哪一种肾脏受累较少见A 系统性红斑狼疮(SLE)
B 皮肌炎(DM)
C 干燥综合征
D 结节性多动脉炎(PN)
E 血管炎
- 已知向量组a1= (3,2,-5)T,a2 = (3,-1,3)T,a3 = (1,-1/3,1)T ,a4=(6,-2,6)T ,则该向量组的一个极大线...
- 我国宪法和法律规定的未成年学生享有的合法权利包括()。A.身心健康权
B.人身自由权
C.人格尊严权
D.名誉权和荣誉权
E.受教育权
- 管制刑创制于( )。A.清末B.北洋政府时期C.南京国民政府时期D.革命根据地时期
- A借给B100元,约定以10%的年利率单利计息,5年后还本付息,那么5年后A应该收到()元。A.100
B.110
C.150
D.161.05
- 了解心智活动的实践模式,并在头脑中确立有关这种活动方式的初步映像,这是心智技能形成的( )阶段。A、原型选定 B、原型定向 C、原型操作 D...
- 相对估值法有( )。 Ⅰ.市盈率法 Ⅱ.折现现金流法 Ⅲ.经济增加值法 Ⅳ.市销率法A、Ⅰ.ⅡB、Ⅰ.Ⅱ.ⅣC、Ⅰ.ⅣD、Ⅲ.Ⅳ
- 女性16岁。低热、咳嗽1个月,查体:消瘦,右颈 部可触及数个绿豆大小淋巴结,稍硬、活动、无压 痛,右肺呼吸音稍减弱,胸片见右上钙化灶,右肺门淋巴结肿大,诊...