某非自重湿陷性黄土试样含水量w= 15. 6%,土粒相对密度(比重)Dr=2.70,质量密度ρ= 1.60g/cm3,液限wL= 30.0%,塑限wP=1...

作者: rantiku 人气: - 评论: 0
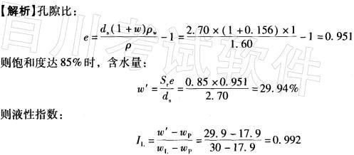
问题 某非自重湿陷性黄土试样含水量w= 15. 6%,土粒相对密度(比重)Dr=2.70,质量密度ρ= 1.60g/cm3,液限wL= 30.0%,塑限wP=17.9%,桩基设计时需要根据饱和状态下的液性指数查取设计参数,该试样饱和度达85%时的液性指数最接近下列哪一选项? ( ) A. 0.85 B. 0.92 C. 0.99 D. 1.06
选项
答案 C
解析

猜你喜欢

发表评论
更多 网友评论0 条评论)
暂无评论

访问排行

Copyright © 2012-2014 恰考网 Inc. 保留所有权利。 Powered by tikuer.com

页面耗时0.0424秒, 内存占用1.03 MB, Cache:redis,访问数据库20次