均匀砂土地基基坑,地下水位与地面齐平,开挖深12m,采用坑内排水,渗流流网如图1-4所示。各相邻等势线之间的水头损失Δh都相等,试问基底处的最大平均水力梯...

作者: rantiku 人气: - 评论: 0
问题 均匀砂土地基基坑,地下水位与地面齐平,开挖深12m,采用坑内排水,渗流流网如图1-4所示。各相邻等势线之间的水头损失Δh都相等,试问基底处的最大平均水力梯度最接近于下面哪一个选项的数值?( ) A. 0.44 B. 0.55 C. 0.80 D. 1.00
选项
答案 D
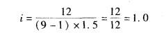
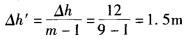
解析 水在土中渗流时受到土的阻力因而产生水头损失。水力梯度为单位渗流长度上的水头损失。由沿网图知其等势线为m=9条,任意两等势线间水头差为:

猜你喜欢

发表评论
更多 网友评论0 条评论)
暂无评论

访问排行

Copyright © 2012-2014 恰考网 Inc. 保留所有权利。 Powered by tikuer.com

页面耗时0.0513秒, 内存占用1.03 MB, Cache:redis,访问数据库18次