小型均质土坝的蓄水高度为16m,流网如图1-5所示。流网中水头梯度等势线间隔数均分为m=22(从下游算起的等势线编号见图所示)。土坝中G点处于第20条等势...

作者: rantiku 人气: - 评论: 0
问题 小型均质土坝的蓄水高度为16m,流网如图1-5所示。流网中水头梯度等势线间隔数均分为m=22(从下游算起的等势线编号见图所示)。土坝中G点处于第20条等势线上,其位置在地面以上11.5m。试问G点的孔隙水压力最接近于下列哪个选项的数值? ( ) A. 30kPa B. 45kPa C. 115kPa D. 145kPa
选项
答案 A
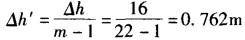
解析 等势线22条,m=22,任意两条等势线间的水头差为: G 点的水头高 hG =16-0. 762×2 = 14. 48m; G 点孔隙水压力为:pw=yh=10×(14. 48 - 11.5) =29. 8kPa。

猜你喜欢

发表评论
更多 网友评论0 条评论)
暂无评论

访问排行

Copyright © 2012-2014 恰考网 Inc. 保留所有权利。 Powered by tikuer.com

页面耗时0.0436秒, 内存占用1.03 MB, Cache:redis,访问数据库20次