某岸边工程场地细砂含水层的流线上A、B两点,A点水位标高2.5m,B点水位标高3.0m,两点间流线长度为10m,请计算两点间的平均渗透力将最接近( )kN...

作者: rantiku 人气: - 评论: 0
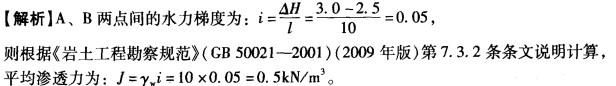
问题 某岸边工程场地细砂含水层的流线上A、B两点,A点水位标高2.5m,B点水位标高3.0m,两点间流线长度为10m,请计算两点间的平均渗透力将最接近( )kN/m3。 A. 1.25 B. 0.83 C. 0.50 D. 0.20
选项
答案 C
解析

猜你喜欢

发表评论
更多 网友评论0 条评论)
暂无评论

访问排行

Copyright © 2012-2014 恰考网 Inc. 保留所有权利。 Powered by tikuer.com

页面耗时0.0420秒, 内存占用1.03 MB, Cache:redis,访问数据库19次