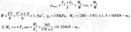
条形基础底面处的平均压力为170kPa,基础宽度b=3m,在偏心荷载作用下,基底边缘处的最大压力值为280kPa,该基础合力偏心距最接近下列哪个选项的...

作者: rantiku 人气: - 评论: 0
问题 条形基础底面处的平均压力为170kPa,基础宽度b=3m,在偏心荷载作用下,基底边缘处的最大压力值为280kPa,该基础合力偏心 距最接近下列哪个选项的数值?( ) A. 0.50m B. 0.33m C. 0.25m D. 0.20m
选项
答案 B
解析 根据《建筑地基基础设计规范》(GB 50007—2002)第5. 2. 2条,

猜你喜欢

发表评论
更多 网友评论0 条评论)
暂无评论

访问排行

Copyright © 2012-2014 恰考网 Inc. 保留所有权利。 Powered by tikuer.com

页面耗时0.0423秒, 内存占用1.03 MB, Cache:redis,访问数据库20次