某场地作为地基的岩体结构面组数为2组,控制性结构面平均间距为1.5m,室内9个饱和单轴抗压强度的平均值为26. 5MPa,变异系数为0.2,按《建筑地基基...

作者: rantiku 人气: - 评论: 0
问题 某场地作为地基的岩体结构面组数为2组,控制性结构面平均间距为1.5m,室内9个饱和单轴抗压强度的平均值为26. 5MPa,变异系数为0.2,按《建筑地基基础设计规范》 (GB 50007-2002),上述数据确定的岩石地基承载力特征值最接近( )MPa。 A. 13.6 B. 12.6 C. 11.6 D. 10.6
选项
答案 C
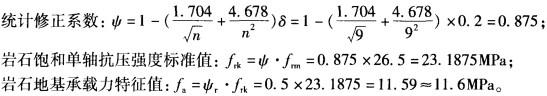
解析 根据《建筑地基基础设计规范》(GB 50007 —2002)第5. 2. 6条、附录J,由题可知该岩体的岩体结构面组数为2组,完整程度为完整,折减系数ψr=0.5,则可得:

猜你喜欢

发表评论
更多 网友评论0 条评论)
暂无评论

访问排行

Copyright © 2012-2014 恰考网 Inc. 保留所有权利。 Powered by tikuer.com

页面耗时0.0346秒, 内存占用1.03 MB, Cache:redis,访问数据库18次