某采用筏基的高层建筑,地下室2层,按分层总合法计算出的地基变形量为160mm, 沉降计算经验系数取1.2,计算的地基回弹变形量为18mm,地基变形允许值为...

作者: rantiku 人气: - 评论: 0
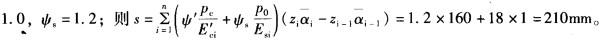
问题 某采用筏基的高层建筑,地下室2层,按分层总合法计算出的地基变形量为160mm, 沉降计算经验系数取1.2,计算的地基回弹变形量为18mm,地基变形允许值为 200mm,则地基变形计算值为( )mm。 A. 178 B. 192 C. 210 D. 214
选项
答案 C
解析 根据《高层建筑箱形与筏形基础技术规范》(JGJ 6—1999)第4. 0. 6条可得:

猜你喜欢

发表评论
更多 网友评论0 条评论)
暂无评论

访问排行

Copyright © 2012-2014 恰考网 Inc. 保留所有权利。 Powered by tikuer.com

页面耗时0.0382秒, 内存占用1.03 MB, Cache:redis,访问数据库15次