某建筑物的箱形基础宽9m,长20m,埋深d=5m,地下水位距地表2.0m,地基土分布:第一层为填土,层厚为1.5m, y = 18.0kN/m3;第二层为...

作者: rantiku 人气: - 评论: 0
问题 某建筑物的箱形基础宽9m,长20m,埋深d=5m,地下水位距地表2.0m,地基土分布:第一层为填土,层厚为1.5m, y = 18.0kN/m3;第二层为黏土,层厚为10m,水位 以上y = 18.5kN/m3、水位以下19.5kN/m3,IL=0. 73,e=0. 83,由载荷试验确定的黏土持力层承载力特征值fak = 190kPa。该黏土持力层深宽修正后的承载力特征值fa最接近( )kPa。 A. 259 B. 276 C. 285 D. 292
选项
答案 D
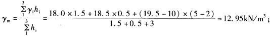
解析 根据《建筑地基基础设计规范》(GB 50007—2002)第5. 2. 4条,由于箱基宽度6 = 9m>6. 0m,按6m计算;箱基埋深为d=5m。由于持力层为黏性土,确定修正系数ηb、ηd的指标为孔隙比e和释性指数IL,它们可以根据土层条件分别求得:由于IL=0.73,e=0. 83,从査表5. 2. 4得ηb=0.3,ηd= 1.6,考虑到基础位于地下水位以下,故持力层的容重取有效浮容重为:y′= 19. 5 - 10 = 9. 5kN/m3。 而基底以上土层的加权平均容重为: 则可求得地基承载力特征值为:fa=fak+ηby′(b-3)+ηbym(b-0.5) = 190+0.3×9. 5×(6 -3) +1.6×12. 95×(5-0. 5) =292kPa。

猜你喜欢

发表评论
更多 网友评论0 条评论)
暂无评论

访问排行

Copyright © 2012-2014 恰考网 Inc. 保留所有权利。 Powered by tikuer.com

页面耗时0.0578秒, 内存占用1.03 MB, Cache:redis,访问数据库20次