某一饱和黏土地基,黏土层厚10m,渗透系数k为1.6cm/年,受大面积荷载p0为100kPa。(2)该黏土层的竖向固结系数,最接近的数值是( )cm2...

作者: rantiku 人气: - 评论: 0
问题 某一饱和黏土地基,黏土层厚10m,渗透系数k为1.6cm/年,受大面积荷载p0为100kPa。 (2)该黏土层的竖向固结系数,最接近的数值是( )cm2/年。 A. 7.5 B. 9.3 C. 10. 1 D. 12.2
选项
答案 D
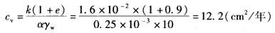
解析 黏土层的竖向固结系数为:

猜你喜欢

发表评论
更多 网友评论0 条评论)
暂无评论

访问排行

Copyright © 2012-2014 恰考网 Inc. 保留所有权利。 Powered by tikuer.com

页面耗时0.0617秒, 内存占用1.03 MB, Cache:redis,访问数据库20次