已知墙下条形基础在±0.00标高处的轴力标准值F=400kN/m,埋深2.65m,室内外高差0.45m,修正后的地基承载力特征值fa =160kN/m2,...

作者: rantiku 人气: - 评论: 0
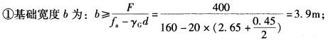
问题 已知墙下条形基础在±0.00标高处的轴力标准值F=400kN/m,埋深2.65m,室内外高差0.45m,修正后的地基承载力特征值fa =160kN/m2,基础底部采用混凝土基础,H0 = 300mm,其上采用毛石混凝土基础,墙身厚360mm。 (1)毛石混凝土高度至少应为( )m。 A. 1.74 B. 1.84 C. 1.94 D. 2.04
选项
答案 B
解析

猜你喜欢

发表评论
更多 网友评论0 条评论)
暂无评论

访问排行

Copyright © 2012-2014 恰考网 Inc. 保留所有权利。 Powered by tikuer.com

页面耗时0.0422秒, 内存占用1.03 MB, Cache:redis,访问数据库20次