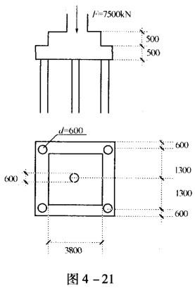
某柱下桩基(y0= 1)如图4—21所示,柱宽hc=0.6m,承台有效高度h0= 1. 0m,冲跨比λ= 0. 7,承台混凝土抗拉强度设计值ft= 1. ...

作者: rantiku 人气: - 评论: 0
问题 某柱下桩基(y0= 1)如图4—21所示,柱宽hc=0.6m,承台有效高度h0= 1. 0m,冲跨比λ= 0. 7,承台混凝土抗拉强度设计值ft= 1. 71 MPa,作用于承台顶面的竖向力设计值 F = 7500kN,按《建筑桩基技术规范》(JGJ 94—2008)验算柱冲切承载力时,下述结论正确的是( ) 。 A.受冲切承载力比冲切力小800kN B.受冲切承载力与冲切力相等 C.受冲切承载力比冲切力大810kN D.受冲切承载力比冲切力大2129kN
选项
答案 D
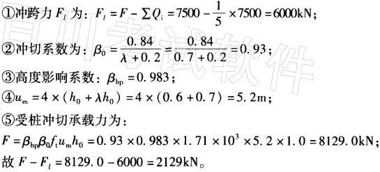
解析 根据《建筑桩基技术规范》(JGJ 94—2008)第 5.9.7 条计算如下:
发表评论
更多 网友评论0 条评论)
暂无评论

访问排行

Copyright © 2012-2014 恰考网 Inc. 保留所有权利。 Powered by tikuer.com

页面耗时0.0435秒, 内存占用1.03 MB, Cache:redis,访问数据库19次