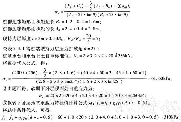
如图4-26所示,进行软弱下卧层强度验算,桩为直径400mm灌注桩,桩长l=9m,各层土的y均为20kN/m3,重要性系数y0=1。计算得软弱下卧层顶面处...

作者: rantiku 人气: - 评论: 0
问题 如图4-26所示,进行软弱下卧层强度验算,桩为直径400mm灌注桩,桩长l=9m,各层土的y均为20kN/m3,重要性系数y0=1。计算得软弱下卧层顶面处自重应力、附加应力及承载力特征值分别为( )。 A. 210kPa; 30kPa; 317kPa B. 210kPa; 30kPa; 327kPa C. 260kPa; 62kPa; 310kPa D. 220kPa; 41kPa; 317kPa
选项
答案 C
解析 根据《建筑桩基技术规范》(JGJ 94—2008)第5. 4. 1条计算, ①已知桩距sa=1.2m,d=0.4m,因为sa/d=3<6,故根据《建筑桩基技术规范》(JGJ 94一2008)式(5. 4. 1 -2)计算,软弱下卧层顶面处附加应力公式为:

猜你喜欢

发表评论
更多 网友评论0 条评论)
暂无评论

访问排行

Copyright © 2012-2014 恰考网 Inc. 保留所有权利。 Powered by tikuer.com

页面耗时0.0434秒, 内存占用1.03 MB, Cache:redis,访问数据库20次