某软土地基土层分布和各土层参数如图5-4所示。已知基础埋深为2.0m,采用搅拌桩复合地 基,搅拌桩长10.0m,桩直径500mm,单桩承载 力为120kN...

作者: rantiku 人气: - 评论: 0
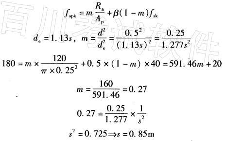
问题 某软土地基土层分布和各土层参数如图5-4所示。已知基础埋深为2.0m,采用搅拌桩复合地 基,搅拌桩长10.0m,桩直径500mm,单桩承载 力为120kN,要使复合地基承载力达到180kPa,按正方形布桩,问桩间距取下列哪个选项的数值较为合适(假设桩间土地基承载力修正系数)β=0. 5)? ( ) A. 0.85m B. 0.95m C. 1.05m D. 1.1m
选项
答案 A
解析 根据《建筑地基处理技术规范》(JGJ 79—2002)第7. 2. 8条、第11.2.3条及式(9.2.5),

猜你喜欢

发表评论
更多 网友评论0 条评论)
暂无评论

访问排行

Copyright © 2012-2014 恰考网 Inc. 保留所有权利。 Powered by tikuer.com

页面耗时0.0452秒, 内存占用1.03 MB, Cache:redis,访问数据库15次