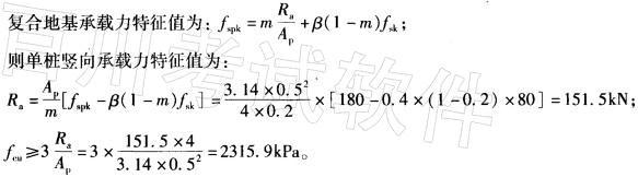
某工程场地为软土地基,采用CFG桩复合地基处理,桩径d=5m,按正三角形布桩,桩距s=1.1m,桩长l= 15m,要求复合地基承载力特征值fspk=180...

作者: rantiku 人气: - 评论: 0
问题 某工程场地为软土地基,采用CFG桩复合地基处理,桩径d=5m,按正三角形布桩,桩距s=1.1m,桩长l= 15m,要求复合地基承载力特征值fspk=180kPa,单桩承载力特征值Ra及加固土试块立方体抗压强度平均值fcu应为( )。(取置换率m =0. 2,桩间土承载力特征值fsk =80kPa,折减系数;β=0.4) A. Ra = 151kPa; fcu =3210kPa B. Ra = 15kPa; fcu =2370kPa C. Ra= 159kPa; fcu=2430kPa D. Ra = 163kPa; fcu =2490kPa
选项
答案 A
解析 根据《建筑地基处理技术规范》(JGJ 79-2002)第9. 2. 5条及第9. 2. 7条,

猜你喜欢

发表评论
更多 网友评论0 条评论)
暂无评论

访问排行

Copyright © 2012-2014 恰考网 Inc. 保留所有权利。 Powered by tikuer.com

页面耗时0.0632秒, 内存占用1.03 MB, Cache:redis,访问数据库20次