某天然地基fsk=100kPa,采用振冲挤密碎石桩复合地基,桩长l= 10m,桩径d = 1.2m, 按正方形布桩,桩间距s= 1.8m,单粧承载力特征值...

作者: rantiku 人气: - 评论: 0
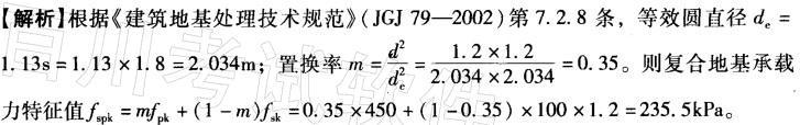
问题 某天然地基fsk=100kPa,采用振冲挤密碎石桩复合地基,桩长l= 10m,桩径d = 1.2m, 按正方形布桩,桩间距s= 1.8m,单粧承载力特征值fpk =450kPa,桩设置后,桩间土承载力提高20%,问复合地基承载力特征值为( )kPa。 A. 248 B. 235 C. 222 D. 209
选项
答案 B
解析

猜你喜欢

发表评论
更多 网友评论0 条评论)
暂无评论

访问排行

Copyright © 2012-2014 恰考网 Inc. 保留所有权利。 Powered by tikuer.com

页面耗时0.0464秒, 内存占用1.03 MB, Cache:redis,访问数据库18次